Как завершить исполнительное производство без участия приставов: пошаговая инструкция

Вопрос о завершении исполнительного производства без участия судебных приставов зачастую требует детального подхода. В ряде случаев стороны могут договориться между собой, и такой процесс не требует вмешательства государственных органов. Согласно статье 153.10 Гражданского процессуального кодекса РФ, если стороны достигли соглашения, процесс можно завершить на стадии рассмотрения без необходимости подачи дополнительных заявлений в суд или к приставам. Важно отметить, что мировое соглашение должно быть заключено в письменной форме и соответствовать всем установленных требованиям.

На стадии исполнительного производства стороны могут представить в суд заявление о прекращении дела, если соглашение подписано. Мировое соглашение должно включать все необходимые условия для урегулирования спора, а также содержать обязательства сторон по выполнению принятых решений. Важно, чтобы текст соглашения соответствовал нормам ГПК РФ и не нарушал правовые нормы, предусмотренные для подобных ситуаций.

Необходимость обращения в суд может возникнуть, если одна из сторон не выполняет условия соглашения. В таком случае судебная инстанция будет вынуждена рассматривать вопрос по заявлению о прекращении производства в рамках рассмотрения дела по мировому соглашению. После того как соглашение подписано, суд должен утвердить его, рассмотрев доводы сторон и убедившись, что оно не нарушает закон и права других участников. В противном случае исполнительное производство будет продолжаться.

Практика показывает, что на стадии утверждения мирового соглашения суды уделяют внимание каждому пункту, включая сроки и обязательства, заявленные в соглашении. В случае частичного исполнения соглашения также может быть вынесено решение о прекращении части производства, что ускоряет процесс и снижает нагрузку на судебные инстанции. Важно, чтобы все детали соглашения были прописаны четко и без двусмысленностей, поскольку любые несоответствия могут привести к отклонению заявления о прекращении.

Понимание возможности завершения исполнительного производства без приставов

Понимание возможности завершения исполнительного производства без приставов

Для прекращения исполнительного производства без вмешательства судебных приставов необходимо соблюдать несколько важных условий, прописанных в Гражданском процессуальном кодексе РФ (ГПК РФ) и Арбитражном процессуальном кодексе (АПК). Согласно статье 153.10 ГПК РФ, соглашение между сторонами может стать основанием для прекращения производства. Это особенно актуально, если обе стороны согласны на мирное урегулирование спора и готовы оформить соответствующее мировое соглашение.

На практике такие ситуации возникают чаще всего в арбитражных судах, когда стороны заключают мировое соглашение, которое утверждается судом. Это позволяет избежать дальнейших процедур через приставов. Однако важно помнить, что данное соглашение должно соответствовать определённым требованиям. В нем должны быть чётко указаны все условия урегулирования спора, а также обязательства каждой из сторон. После того как соглашение заключено и представлено в суд, он вправе его утвердить, что приводит к прекращению исполнительного производства.

Судебные инстанции внимательно рассматривают все доводы сторон и условия заключаемого мирового соглашения. Соглашение не может противоречить действующему законодательству, и в нем не должно быть условий, нарушающих права одной из сторон. В случае несоответствия мирового соглашения установленным правилам, суд вправе отклонить его утверждение, и исполнительное производство продолжится. Это особенно важно, когда речь идет о спорах, связанных с бюджетом или земельными участками, например, в садоводческих товариществах или по вопросам распределения обязательств между сторонами.

Основные требования к мировому соглашению

Мировое соглашение должно содержать следующие ключевые моменты:

Пункт Описание
Согласие сторон Обе стороны должны выразить желание решить спор мирным путем.
Условия соглашения Должны быть ясно и чётко прописаны обязательства сторон.
Сроки выполнения Необходимо указать сроки, в которые стороны обязуются выполнить условия соглашения.
Форма документа Мировое соглашение должно быть составлено в письменной форме.

Следуя этим рекомендациям, можно добиться прекращения исполнительного производства без участия судебных приставов. Однако важно помнить, что даже если соглашение будет принято, суд обязательно проверит его на соответствие законодательству и принципам справедливости. В случае несоответствия законодательства, суд не утвердит такое соглашение, и исполнительное производство продолжится.

Условия для прекращения исполнительного производства без вмешательства судебных приставов

Условия для прекращения исполнительного производства без вмешательства судебных приставов

Согласно статье 153.10 ГПК РФ, прекращение производства возможно при подаче сторонами заявления о завершении спора, если они достигли соглашения. Мировое соглашение в таком случае будет основным документом, который определяет условия прекращения дела. Важно, чтобы соглашение содержало все существенные условия, которые касаются урегулирования спора и выполнения обязательств сторон. Судья, рассмотрев заявление, должен утвердить соглашение, если оно не нарушает правовые нормы.

Советуем прочитать:  Приложение N 12. Инструкция о порядке выплаты ежегодной материальной помощи

Если соглашение заключено и подано в суд, то процесс будет завершён только после его утверждения. Это важное условие, так как без утверждения судом соглашение не имеет юридической силы. На практике многие споры заканчиваются именно мировыми соглашениями, так как этот процесс ускоряет завершение дела и позволяет сторонам избежать длительных разбирательств. Судебная практика показывает, что соглашения, не соответствующие требованиям, могут быть отклонены, что может привести к продолжению производства.

Кроме того, при частичном исполнении обязательств по соглашению стороны могут подать заявление о прекращении только части исполнительного процесса, если соглашение уже выполнено частично. В этом случае суд будет рассматривать вопрос о прекращении только части процесса, если это соответствует условиям соглашения и не противоречит законам РФ. Важно, чтобы каждое заявление о прекращении или частичном завершении производства содержало все необходимые данные для принятия судом решения.

  • Заявление должно содержать все данные о выполнении условий мирового соглашения.
  • Суд должен удостовериться в правомерности и соответствии соглашения законодательству.
  • При частичном выполнении обязательств следует подавать отдельные заявления о прекращении части производства.
  • Каждое заявление должно быть направлено в соответствующую судебную инстанцию для утверждения.

Практика показывает, что после подачи таких заявлений и их утверждения судом процесс может быть завершён, и стороны смогут избежать дальнейшего вмешательства судебных приставов. Соглашение должно быть тщательно подготовлено и включать в себя все пункты, которые соответствуют действующему законодательству, чтобы не возникло препятствий для утверждения его судом.

Как составить мировое соглашение в рамках исполнительного производства

Для составления мирового соглашения в рамках исполнительного процесса важно соблюсти несколько ключевых правил, чтобы оно соответствовало требованиям законодательства и было принято судом. Мировое соглашение должно быть заключено в письменной форме и содержать четкие и конкретные условия, которые устраивают обе стороны спора. Важно, чтобы соглашение отражало все заявленные обязательства, а его текст не противоречил законодательству РФ.

Согласно статье 153.10 Гражданского процессуального кодекса РФ, соглашение должно включать следующие элементы:

  • Описание обязательств сторон: В соглашении обязательно прописываются условия, которые стороны обязуются выполнить, включая сроки и способ исполнения.
  • Четкость условий: Соглашение не должно оставлять неясностей или двусмысленностей, которые могут повлиять на его исполнение.
  • Юридическая природа соглашения: В соглашении должно быть указано, что оно является мировым, с указанием юридических последствий в случае его нарушения.
  • Условия разрешения спора: В случае несоответствия выполненным обязательствам, соглашение должно включать процедуру разрешения возможных споров между сторонами.

После того как соглашение составлено, оно подается в суд для утверждения. Суд рассмотрит его на основании представленных документов и доводов сторон, после чего вынесет определение об утверждении соглашения. Это определение станет юридическим основанием для прекращения исполнительного процесса в случае исполнения условий соглашения. Важно отметить, что если соглашение противоречит законодательству или нарушает права одной из сторон, суд может отклонить его.

На практике, особенно в арбитражных судах, стороны нередко заключают мировые соглашения, чтобы избежать дальнейших расходов на судебные разбирательства. При этом часто такие соглашения заключаются на стадии исполнения судебных решений, что позволяет ускорить процесс и снизить нагрузку на судебные инстанции. При частичном выполнении условий соглашения стороны могут обратиться в суд с заявлением о прекращении только части исполнительного производства.

Важно помнить, что текст мирового соглашения должен быть составлен с учетом всех особенностей дела, в том числе с учетом специфики спора, бюджета и других факторов. Например, при спорах, связанных с земельными участками или садоводческими товариществами, соглашение должно включать дополнительные условия, связанные с особенностями земельного законодательства.

Процедура подачи заявления о прекращении исполнительного производства

Процедура подачи заявления о прекращении исполнительного производства

Для прекращения исполнительного производства необходимо подать заявление в суд с учетом всех установленных законом требований. Согласно статье 153.10 Гражданского процессуального кодекса РФ, стороны могут обратиться в суд с заявлением о прекращении производства, если они достигли соглашения, которое устраивает обе стороны и соответствует правовым нормам.

Заявление о прекращении исполнительного процесса подается в тот суд, который рассматривает данное дело. Важно, чтобы заявители указали все факты, подтверждающие выполнение условий мирового соглашения или частичного исполнения обязательств. Суд будет рассматривать это заявление и на основании представленных доказательств вынесет определение. При этом суд будет учитывать все доводы сторон, убедившись, что соглашение не нарушает закон и права других участников процесса.

Советуем прочитать:  Можно ли зарегистрировать музыку группы в РАО на одного участника?

При подаче заявления о прекращении производства стороны должны предоставить суду текст мирового соглашения. Он должен содержать все необходимые условия, которые подтверждают факт урегулирования спора. Соглашение, заключаемое между сторонами, не должно содержать условий, противоречащих законодательству РФ. Судебная практика показывает, что при наличии сомнений по правомерности условий соглашения суд может отклонить заявление о прекращении дела.

После подачи заявления суд рассмотрит все материалы дела и на основании результатов проведенного рассмотрения вынесет определение. Если мировое соглашение будет признано законным и соответствующим правилам, суд утвердит его, что приведет к прекращению исполнительного процесса. В случае частичного исполнения обязательств, суд может принять решение только по части дела, если это соответствует условиям соглашения и законодательству.

Необходимо помнить, что процедура подачи заявления требует внимательности и точности. Важно, чтобы текст заявления был составлен с соблюдением всех юридических норм, а также чтобы все документы, подтверждающие исполнение условий соглашения, были предоставлены в суд. В противном случае суд может отказать в удовлетворении заявления и оставить производство в силе. Также могут потребоваться дополнительные уточнения или исправления в случае недостаточности предоставленных доказательств.

Образцы мирового соглашения для завершения исполнительного производства

В тексте мирового соглашения важно четко прописать все существенные условия, такие как:

  • Обязательства сторон по урегулированию спора;
  • Сроки выполнения условий соглашения;
  • Способы исполнения обязательств;
  • Последствия в случае невыполнения условий соглашения.

Для правильного составления мирового соглашения, важно, чтобы оно содержало все необходимые пункты, касающиеся сути спора и соглашения. Например, если речь идет о частичном исполнении обязательств, это должно быть четко зафиксировано в документе. Также нужно учесть, что соглашение не должно включать условий, противоречащих законодательству РФ или ущемляющих права одной из сторон. В противном случае суд может отклонить такое соглашение, что приведет к продолжению судебного разбирательства.

Практика показывает, что на стадии исполнительного процесса соглашения между сторонами, как правило, касаются не только финансовых вопросов, но и других обязательств, таких как передача имущества, урегулирование долгов, вопросы, связанные с бюджетом или земельными участками (например, в садоводческих товариществах). В этих случаях, в соглашении должны быть четко прописаны все условия, чтобы избежать новых споров и недоразумений в будущем.

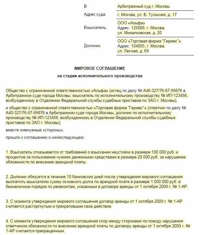
Пример мирового соглашения

В качестве образца, соглашение может быть следующим:

Мировое соглашение

Мы, ФИО 1 (истец), и ФИО 2 (ответчик), заключили настоящее мировое соглашение, в котором договорились о следующих условиях:

  • Ответчик обязуется выплатить истцу сумму в размере 200 000 рублей в срок до 30 декабря 2025 года;
  • Ответчик обязуется передать истцу имущество по адресу: ул. Примерная, д. 10, в срок до 15 января 2026 года;
  • В случае невыполнения условий соглашения, стороны обязуются обратиться в суд для решения вопросов о продолжении исполнения обязательств.

Мы подтверждаем, что данное соглашение является итогом добровольных переговоров и не нарушает законодательных норм. Мы также осведомлены о последствиях в случае его невыполнения.

Данное соглашение подлежит утверждению судом, который должен рассмотреть его на следующем заседании.

При утверждении такого соглашения судом исполнительный процесс прекращается, если все условия выполнены должным образом и не нарушают закон. Однако, важно помнить, что при частичном исполнении обязательств сторонам нужно подать заявление о частичном прекращении дела.

В любом случае, оформление мирового соглашения — это важный шаг, который требует тщательной подготовки. На стадии исполнительного производства такие соглашения часто заключаются в арбитражных судах, но они могут быть оформлены и в других судебных инстанциях, в зависимости от характера спора. Каждый случай индивидуален, и для правильной подготовки соглашения стоит обращаться за консультацией к юристу, который поможет избежать юридических ошибок.

Роль сторон в мировом соглашении на стадии исполнительного производства

Стороны, участвующие в исполнительном процессе, играют ключевую роль в заключении мирового соглашения. В рамках этого соглашения они самостоятельно решают спорные вопросы, устраняя необходимость вмешательства судебных приставов. Важно отметить, что такое соглашение должно быть добровольным и отражать взаимные интересы сторон. Согласно статье 153.10 ГПК РФ, для прекращения исполнительного производства необходимо, чтобы соглашение было утверждено судом, что требует внимательного подхода к его содержанию.

Советуем прочитать:  Какие сроки утверждения заявления на нанесение VIN-кода?

Первая и важнейшая роль принадлежит сторонам, которые должны на стадии исполнительного производства договориться о взаимоприемлемых условиях. Это может касаться не только денежных обязательств, но и других обязательств, например, передачи имущества или выполнения других условий. Мировое соглашение должно содержать конкретные обязательства, сроки их выполнения и последствия за невыполнение. Важно, чтобы все эти условия соответствовали нормам законодательства, иначе суд может отклонить соглашение.

При составлении мирового соглашения важно учитывать, что суд будет проверять, не нарушает ли оно права других сторон, а также соблюдены ли все предусмотренные законодательством требования. Суд может отклонить соглашение, если оно противоречит нормам закона или ущемляет интересы одной из сторон. В связи с этим необходимо тщательно продумать все условия соглашения. Судебная практика показывает, что самые часто встречающиеся проблемы связаны с недостаточной детализацией условий соглашения и несоответствием заявленных требований законодательству.

Стороны также могут обратиться к арбитражному суду, если процесс проходит в рамках арбитражного судопроизводства. В этом случае соглашение также должно соответствовать правилам, установленным АПК РФ. Важно, чтобы суд убедился в добросовестности и законности условий, заключаемых сторонами. На стадии судебного рассмотрения мировое соглашение может быть утверждено только при условии, что оно не противоречит закону и не нарушает общественные интересы.

Еще одной важной ролью сторон является подготовка и подача заявления о прекращении исполнительного производства. Такое заявление может быть подано в суд после того, как мировое соглашение будет заключено. Заявление должно содержать все необходимые документы и доказательства того, что соглашение исполнилось или готово к исполнению в установленные сроки. Судебное утверждение соглашения является последним шагом, который завершает процесс.

В результате заключения мирового соглашения и его утверждения судом, исполнительное производство прекращается. При этом стороны сохраняют право на дальнейшее урегулирование других вопросов, если они возникнут в процессе исполнения соглашения. Важно помнить, что соглашение должно быть составлено с учетом всех юридических требований, чтобы избежать отказа в его утверждении судом.

Порядок утверждения мирового соглашения в суде

После того как мировое соглашение подписано сторонами и направлено в суд, оно становится предметом судебного рассмотрения. Суд, в свою очередь, проводит заседание, на котором исследуются доводы сторон и проверяется соблюдение всех установленных правил. Важно, чтобы текст соглашения был четким и содержал все обязательства сторон, а также сроки их исполнения. В противном случае суд может отклонить соглашение и не утвердить его.

Заседание в суде обычно проводится в рамках арбитражного или общего суда в зависимости от типа спора. Согласно судебной практике, при рассмотрении мирового соглашения суд может отклонить его, если оно противоречит нормам законодательства или ущемляет права одной из сторон. Важно, чтобы соглашение содержало элементы, которые могут быть проверены судом: сроки исполнения обязательств, порядок исполнения и последствия за неисполнение.

После того как суд рассмотрит соглашение и убедится в его законности, он может вынести определение об утверждении мирового соглашения. В это определение включается ссылка на установленные законом нормы, которые регулируют соответствующие обязательства сторон. На этом этапе исполнительное производство может быть прекращено, если условия соглашения выполнены, или если стороны согласились на частичное выполнение обязательств.

На стадии рассмотрения мирового соглашения также важно обратить внимание на возможные дополнительные соглашения, которые могут быть заключены сторонами. Например, соглашение может содержать положения о прощении долгов, о сроках выполнения обязательств или других условиях. При этом все изменения и дополнения должны быть согласованы сторонами и утверждены судом.

Процесс утверждения мирового соглашения в суде имеет свои особенности в зависимости от типа судебной инстанции. Однако общие принципы остаются неизменными: соглашение должно быть добровольным, соответствовать нормам закона и учитывать интересы сторон. На практике для успешного утверждения мирового соглашения важно тщательно проработать все его условия и предоставить суду все необходимые документы для принятия решения.

Понравилась статья? Поделиться с друзьями:
Добавить комментарий

;-) :| :x :twisted: :smile: :shock: :sad: :roll: :razz: :oops: :o :mrgreen: :lol: :idea: :grin: :evil: :cry: :cool: :arrow: :???: :?: :!:

Adblock
detector